表面积分析是通过气体吸附分析对分析物的比表面积(m2/g)进行多点测量,其中惰性气体如氮气连续流过固体样品,或者固体样品悬浮在规定的气体体积中。由于范德华力较弱,气体小分子吸附在固体基质及其多孔结构上,形成单层吸附气体。该单层和吸附速率可用于计算固体样品的比表面积和多孔几何形状,从而为药物产品的反应性和生物利用度的研究提供信息。
测量表面积的BET方法
方法BET测定气体的物理吸附量,得到样品的“表面积”值。
气体分子可以从颗粒之间穿过,进入所有的孔隙、裂纹和表面粗糙度,从而测量探针样品的整个微观表面积。
大多数情况下,样品以粉末或颗粒的形式存在,结果以比表面积表示,单位为单位质量的面积。也可以表示为单位体积的面积,或者表示为物体的绝对面积。
BET方法的简短描述
BET方法使用:
物理吸附测量
BET模型将吸附气体的量描述为相对压力的函数,
用测量数据拟合模型,以获得对应于整个样品单层的气体量。
用每个分子的面积求样品的总面积。
通常,使用样品的质量将面积转换为特定面积。
赌注测量
更好分析需要测量“吸附等温线”。
因为BET模型使用吸附剂的相对压力,所以气体在吸附温度下必须是可冷凝的——换句话说,“气体”实际上是蒸汽。
典型的测量包括:
将已知量的样品放入样品池或容器中。
对样品进行脱气或其他处理,以去除杂质和水分。
增加气体压力,测量样品表面的吸附能力。为了获得最佳精度,这是在多个离散压力下进行的,等待平衡并测量每个点的吸附量。
通常饱和蒸汽压是同时测定的,或者可以根据温度的知识计算出来。
BET最广泛地用于在77 K(液氮的沸点)吸附氮气,但是也使用其他种类和温度。
87 K氩(液氩温度)
氪的温度是77 K
0或25时的二氧化碳
使用DVS仪器(如IGAsorp和SPS)在20c时浇水
吸附等温线
对于BET,吸附等温线以“吸附量”的图表测量,并与“相对压力”比较,其中是吸附剂的压力和在固定实验温度下的饱和蒸汽压。
BELSORP mini X吸附分析仪、BELSORP MAX II吸附分析仪等仪器可以方便地测量氮气、氩气、氪气等气体的吸附等温线,通常是在低温下(以及一定温度范围内的其他气体和蒸气)。水和其他挥发性物质的吸附通常采用动态蒸气吸附仪,如Hiden Isochema的IGAsorp和ProUmid的多样品SPS。
Bet模型
该模型给出了单个单层在固定温度下的吸附容量,并且是吸附等温线模型:

是吸附质的饱和蒸汽压。
c是常数,其被认为将第一层的吸附强度与液体被吸附物的蒸发焓相关联。

以其创始人(布鲁纳尔、埃米特和特勒)命名的BET模型描述了气体压力的增加如何导致逐渐形成:
第一层分子,直接与表面相互作用,然后
后续层的行为就好像它们在第一层的顶部凝结了纯液体。
该模型有两个参数:
nm,单层覆盖率:单个填充层中的原子数。
C,C常数被解释为描述与后续层相比,表面和第一层之间相互作用的相对强度。
对于较大的值,在下一层开始形成之前,第一层几乎完成,因此在低压力下有一个尖锐的膝。对于小的,单层直到高值才形成,给出III型等温线。
在表面积的BET测量中,我们从一系列值开始,但我们还不知道总和。
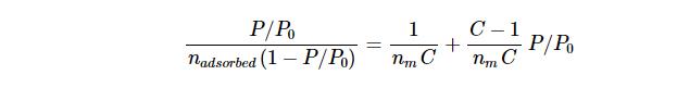
赌注适合重排的BET等温线模型给出了线性形式:

BET图可以通过简单地处理等温线数据并画出左边的项来获得。
在BET模型有效的区域中,BET图是线性的,具有斜率,并且被截取,并且从直线拟合测量。
而且不变。使用单层中每个分子所占据的表面积的已知值来获得样品的表面积。
单点下注分析
对于样品表面积不同但物质保持不变的应用,可以只使用BET等温线上的一个点。这种简化的测量可以通过单点BELSORP MR1非常快速地完成。
实际投注分析
BET模型是基于一个非常简单的平面表面理想化吸附过程的模型,其中表面的影响只影响吸附分子的第一层,吸附层中没有横向相互作用。
尽管材料吸附系统具有这些特征是不寻常的,但是发现对于许多非微孔材料,BET图拟合可以在以下范围内:从0.05到0.3。
但是,简单的直线拟合不足以保证模型的有效性,甚至不足以保证分析的一致性。许多建议已经在国际标准中正式化,以确保可以获得更好的分析,并重复和有意义地报告。
此外,仔细的样品制备和正确使用分析仪器也是必要的。
当微孔存在时,接头通常在较低压力范围内呈线性,因此在使用术语“表面积”时,应谨慎对待这些材料的BET结果。

